1998-2022 ChinaKaoyan.com Network Studio. All Rights Reserved. 沪ICP备12018245号
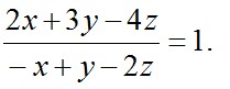
24.设x,y,z为非零实数,则

(1)3x-2y=0.
(2)2y-z=0.
25.设a1=1,a2 =k,an+1=|an-an-1|(n≥2),则a100+a101+ a102 =2.
(1)k=2.
(2)k是小于20的正整数.
三、逻辑推理:第26~55小题,每小题2分,共60分。下列每题给出的A、B、C、D、E五个选项中,只有一项是符合试题要求的。请在答题卡上将所选项的字母涂黑。
26.某公司自去年初开始实施一项“办公用品节俭计划”,每位员工每月只能免费领用限量的纸笔等各类办公用品。年末统计时发现,公司用于各类办公用品的支出较上年度下降了30%。在未实施该计划的过去5年间,公司年均消耗办公用品10万元。公司总经理由此得出:该计划去年为公司节约了不少经费。
以下哪项如果为真,最能构成对总经理推论的质疑?
(A)另一家与该公司规模及其他基本情况均类似的公司,未实施类似的节俭计划。在过去的5年间办公用品消耗额年均也为10万元。
(B)在过去的5年间,该公司大力推广无纸化办公,并且取得很大成效。
(C)“办公用品节俭计划”是控制支出的重要手段,但说该计划为公司“一年内节约不少经费”,没有严谨的数据分析。
(D)另一家与该公司规模及其他基本情况均类似的公司,未实施类似的节俭计划,但在过去的5年间办公用品人均消耗额越来越低。
(E)去年,该公司在员工困难补助、交通津贴等方面的开支增加了3万元。
27.公司经理:我们招聘人才时最看重的是综合素质和能力,而不是分数。人才招聘中,高分低能者并不鲜见,我们显然不希望招到这样的“人才”。从你的成绩单可以看出,你的学业分数很高,因此我们有点怀疑你的能力和综合素质。
以下哪项和经理得出结论的方式最为类似?
(A)公司管理者并非都是聪明人,陈然不是公司管理者,所以陈然可能是聪明人。
(B)猫都爱吃鱼,没有猫患近视,所以吃鱼可以预防近视。
(C)人的一生中健康开心最重要,名利都是浮云,张立名利双收,所以可以推出张立并不开心。
(D)有些歌手是赏,所有的演员都很富有,所以有些歌手可能不是很富有。
(E)闪光的物体并非都是金子,考古队挖到了闪闪发光的物体,所以考古队挖到的可能不是金子。
来源未注明“中国考研网\考研信息网”的资讯、文章等均为转载,本网站转载出于传递更多信息之目的,并不意味着赞同其观点或证实其内容的真实性,如涉及版权问题,请联系本站管理员予以更改或删除。如其他媒体、网站或个人从本网站下载使用,必须保留本网站注明的"稿件来源",并自负版权等法律责任。
来源注明“中国考研网”的文章,若需转载请联系管理员获得相应许可。
联系方式:chinakaoyankefu@163.com
扫码关注
了解考研最新消息

